欢迎使用金字塔普通技术服务论坛,您可以在相关区域发表技术支持贴。
我司技术服务人员将优先处理 VIP客服论坛 服务贴,普通区问题处理速度慢,请耐心等待。谢谢您对我们的支持与理解。


金字塔客服中心 - 专业程序化交易软件提供商金字塔软件金字塔软件问题提交 → 下单日志空的

   

欢迎使用金字塔普通技术服务论坛,您可以在相关区域发表技术支持贴。
我司技术服务人员将优先处理 VIP客服论坛 服务贴,普通区问题处理速度慢,请耐心等待。谢谢您对我们的支持与理解。    


  共有4945人关注过本帖树形打印复制链接

主题:下单日志空的

帅哥哟,离线,有人找我吗?
北极熊
  1楼 | 信息 | 搜索 | 邮箱 | 主页 | UC


加好友 发短信
等级:论坛游侠 帖子:155 积分:525 威望:0 精华:0 注册:2011/3/25 11:28:59
下单日志空的  发帖心情 Post By:2012/9/12 12:09:20 [只看该作者]

升级后我的下单日志怎么是空的,是否需要设置什么?我的程序所有下单指令都是一手

buy(1,1,market),今天奇怪橡胶在下单一手后,下根K线立刻又委托2手成交,害死我!

另外如何查看费率设置栏目?


 回到顶部
帅哥哟,离线,有人找我吗?
lichenghu
  2楼 | 信息 | 搜索 | 邮箱 | 主页 | UC


加好友 发短信
等级:超级版主 帖子:5895 积分:3774 威望:0 精华:0 注册:2012/1/1 0:00:01
  发帖心情 Post By:2012/9/12 12:22:53 [只看该作者]

交易—合约信息设置


金字塔—专业程序化交易量化投资平台

客户服务部

-----------------------------------------------------------

欢迎您参加我公司的技术培训,具体培训需求请发邮件到service@weistock.com

您的宝贵建议或者投诉,请发往邮箱:weiwei@weistock.com
 回到顶部
帅哥哟,离线,有人找我吗?
北极熊
  3楼 | 信息 | 搜索 | 邮箱 | 主页 | UC


加好友 发短信
等级:论坛游侠 帖子:155 积分:525 威望:0 精华:0 注册:2011/3/25 11:28:59
没有老师回答我  发帖心情 Post By:2012/9/12 21:43:11 [只看该作者]

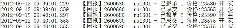
(实盘)交易日志中9:39分的委托是我程序发出的,buy(1,1,market);但是9:40分时又发出2手委托,不知为何?我整个程序的下单语句从没有同时委托2手的指令即buy(1,2,marker);图表中正确显示了9:39分的开仓信号,并没有后来2手的信号,但实际帐户中有这2手橡胶.
图片点击可在新窗口打开查看此主题相关图片如下:log.jpg
图片点击可在新窗口打开查看


 回到顶部
帅哥哟,离线,有人找我吗?
jinzhe
  4楼 | 信息 | 搜索 | 邮箱 | 主页 | UC


加好友 发短信
等级:罗宾汉 帖子:46311 积分:50819 威望:0 精华:2 注册:2011/3/23 8:50:25
  发帖心情 Post By:2012/9/13 8:52:52 [只看该作者]

日志里面的详细记录下单过程的条目呢?


金字塔—专业程序化交易量化投资平台

客户服务部

----------------------------------------------------------- 欢迎您参加我公司的技术培训,具体培训需求请发邮件到service@weistock.com

您的宝贵建议或者投诉,请发往邮箱:weiwei@weistock.com

 回到顶部
帅哥哟,离线,有人找我吗?
北极熊
  5楼 | 信息 | 搜索 | 邮箱 | 主页 | UC


加好友 发短信
等级:论坛游侠 帖子:155 积分:525 威望:0 精华:0 注册:2011/3/25 11:28:59
详细下单条目  发帖心情 Post By:2012/9/13 9:29:24 [只看该作者]

详细下单条目在哪里?我怎么找不到啊,明示?

 回到顶部
帅哥哟,离线,有人找我吗?
jinzhe
  6楼 | 信息 | 搜索 | 邮箱 | 主页 | UC


加好友 发短信
等级:罗宾汉 帖子:46311 积分:50819 威望:0 精华:2 注册:2011/3/23 8:50:25
  发帖心情 Post By:2012/9/13 9:42:17 [只看该作者]

在setting的orderlog里面找下单日志

先要在下单设置--程式化交易设置里面勾选记录下单日志



金字塔—专业程序化交易量化投资平台

客户服务部

----------------------------------------------------------- 欢迎您参加我公司的技术培训,具体培训需求请发邮件到service@weistock.com

您的宝贵建议或者投诉,请发往邮箱:weiwei@weistock.com

 回到顶部
帅哥哟,离线,有人找我吗?
北极熊
  7楼 | 信息 | 搜索 | 邮箱 | 主页 | UC


加好友 发短信
等级:论坛游侠 帖子:155 积分:525 威望:0 精华:0 注册:2011/3/25 11:28:59
我的日志  发帖心情 Post By:2012/9/13 10:25:45 [只看该作者]

我的日志不是"日志里面的详细记录下单过程的条目"吗?那详细的在哪?

 回到顶部
帅哥哟,离线,有人找我吗?
jinzhe
  8楼 | 信息 | 搜索 | 邮箱 | 主页 | UC


加好友 发短信
等级:罗宾汉 帖子:46311 积分:50819 威望:0 精华:2 注册:2011/3/23 8:50:25
  发帖心情 Post By:2012/9/13 10:30:58 [只看该作者]

2012-09-13 10:30:26.941    【图表】触发下单 ENTERSHORT 品种 IF00
2012-09-13 10:30:26.941    【图表】分品种下单调整后,系数1
2012-09-13 10:30:26.941    【图表】调整后的图表下单手数 1
2012-09-13 10:30:26.941    【图表】直接下单
2012-09-13 10:30:26.957    【图表】IF00 运行完毕
2012-09-13 10:30:26.957    【下单】IF09 价2321.800049 量1 买卖1 类型0 开平0 账户800011 Formula 1
2012-09-13 10:30:28.113    【图表】IF00 运行完毕
2012-09-13 10:30:28.504    【回报】800011 : IF09 - 正在申报 1 价格:2321.80 开仓 卖出
2012-09-13 10:30:28.504    【回报】800011 : IF09 全部成交 1 价格:2322.0 开 卖
2012-09-13 10:30:29.941    【图表】IF00 运行完毕

 

这样的



金字塔—专业程序化交易量化投资平台

客户服务部

----------------------------------------------------------- 欢迎您参加我公司的技术培训,具体培训需求请发邮件到service@weistock.com

您的宝贵建议或者投诉,请发往邮箱:weiwei@weistock.com

 回到顶部